一种聚丙烯珠光膜及其制备方法与在面膜底材中的应用与流程

本发明涉及聚丙烯珠光膜,具体涉及一种聚丙烯珠光膜及其制备方法与在面膜底材中的应用。
背景技术:
1、聚丙烯珠光膜具有比重小、强度大、耐候性好、抗撕裂性佳、质地柔软、印刷性能优良及经久耐用等优点。聚丙烯珠光膜因兼具塑料和纸的特征,在印刷、包装、化妆品等方面得到了广泛的应用。随着聚丙烯珠光膜应用场景的增多,对聚丙烯珠光膜提出了更多的要求,比如聚丙烯珠光膜在面膜底材中应用时,要求珠光膜的一面具有一定的静电吸附性能,另一面具有排斥静电的性能,这样才能避免不同组合之间的粘连,一般静电吸附性能的一面通过电晕处理,需要静电排斥的一面添加抗静电剂,但是很多时候通过添加抗静电剂由于添加量的原因其抗静电效果不佳;同时现有的聚丙烯珠光膜很多是无法自然降解或者自然降解率比较低。
2、公开号为cn112721370a的中国发明专利申请公开了一种bopp珠光膜及其制备方法和应用,该专利申请公开的聚丙烯珠光膜虽然抗静电面具有良好的抗静电效果,但是其自然降解率比较低。
技术实现思路
1、针对现有技术存在的不足,本发明的目的是提供一种聚丙烯珠光膜及其制备方法与在面膜底材中的应用。
2、为实现上述目的,本发明通过以下技术方案来实现:
3、一种聚丙烯珠光膜,包括外表层、中间层和内表层,所述外表层包括以下重量份数的原料:聚丙烯:15-20份、聚碳酸亚丙酯:20-30份、黄原胶:20-30份、钛白粉:1-2份、有机珠光母料:8-15份、碳酸钙:1-2份、抗氧剂:1-2份;
4、所述中间层包括以下重量份数的原料:聚丙烯:20-25份、钛白粉:1-2份、有机珠光母料:5-10份、改性黄原胶共聚物:50-60份;
5、所述内表层包括以下重量份数的原料:聚丙烯:15-20份、钛白粉:1-2份、改性黄原胶共聚物:35-40份;
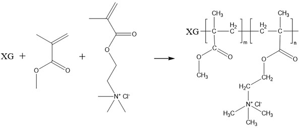
6、所述改性黄原胶共聚物由黄原胶与甲基丙烯酸甲酯、甲基丙烯酰氧乙基三甲基氯化铵接枝共聚制得。
7、所述改性黄原胶共聚物通过以下方法制备:
8、氮气保护下,向反应瓶中加入去离子水、黄原胶,搅拌混均,升温至40-50℃;向反应瓶中同时缓慢滴加甲基丙烯酸甲酯的乙醇溶液、甲基丙烯酰氧乙基三甲基氯化铵溶液、过硫酸铵溶液,滴加0.5-1h,接枝共聚反应1-2h得到改性黄原胶共聚物。其反应路线示意如下:
9、
10、其中,xg代表黄原胶。
11、所述黄原胶、甲基丙烯酸甲酯的乙醇溶液、甲基丙烯酰氧乙基三甲基氯化铵溶液、过硫酸铵溶液的投料质量比为30:(8-10):(3-5):(0.5-1)。
12、所述过硫酸铵溶液的浓度为0.05-0.1mol/l。
13、所述甲基丙烯酸甲酯的乙醇溶液的浓度为25-30wt%。
14、所述甲基丙烯酰氧乙基三甲基氯化铵溶液为70-80wt%的水溶液。
15、所述抗氧剂为2,6-二叔丁基对甲酚、2,6-二(十八烷基)-4-甲基苯酚中的一种。
16、一种聚丙烯珠光膜的制备方法,包括以下步骤:
17、s1:将外表层原料、中间层原料和内表层原料分别通过挤出机挤出;
18、s2:将经挤出机挤出的各层原料经t型机头挤出,然后进行纵向拉伸、横向拉伸,随后冷却、电晕外表层、切边即得;
19、其中,外表层原料和内表层原料的挤出温度为230℃,中间层原料的挤出温度为250℃;纵向拉伸的预热段温度为130℃,拉伸段温度为142℃,定型段温度为145℃,纵向拉伸比为4.9,横向拉伸的预热段温度为167℃,拉伸段温度为155℃,定型段温度为171℃,横向拉伸比为9倍,电晕34。
20、进一步地,所述聚丙烯珠光膜在面膜底材中的应用。
21、由于采用以上技术方案,本发明的有益效果包括:
22、(1)本发明通过黄原胶与甲基丙烯酸甲酯、甲基丙烯酰氧乙基三甲基氯化铵接枝共聚制备了一种具有抗静电和增容性能的改性黄原胶共聚物,将制备的改性黄原胶共聚物添加到聚丙烯珠光膜中提高了珠光膜抗静电层的抗静电性能和聚丙烯珠光膜的自然降解率。
23、(2)黄原胶本身是一种阴离子聚合物,具有一定的抗静电作用,但是其抗静电性能相对较弱,通过将甲基丙烯酰氧乙基三甲基氯化铵接枝到黄原胶上,制备了一种两性改性黄原胶,提高了黄原胶的抗静电性能;通过将甲基丙烯酸甲酯接枝到黄原胶上,提高了黄原胶与聚丙烯的相容性,原因是本申请的聚丙烯为含有甲基丙烯酸甲酯接枝的聚丙烯无规共聚物,两者含有相同的官能团,因此提高了两者的相容性,避免了因相容性问题导致聚丙烯珠光膜性能的不稳定;黄原胶属于碳水化合物多聚糖类物质,易被生物自然降解,因此本申请制备的聚丙烯珠光膜具有优异的自然降解性能。
技术特征:
1.一种聚丙烯珠光膜,包括外表层、中间层和内表层,其特征在于,所述外表层包括以下重量份数的原料:聚丙烯:15-20份、聚碳酸亚丙酯:20-30份、黄原胶:20-30份、钛白粉:1-2份、有机珠光母料:8-15份、碳酸钙:1-2份、抗氧剂:1-2份;
2.根据权利要求1所述的一种聚丙烯珠光膜,其特征在于,所述改性黄原胶共聚物通过以下方法制备:
3.根据权利要求2所述的一种聚丙烯珠光膜,其特征在于,所述黄原胶、甲基丙烯酸甲酯的乙醇溶液、甲基丙烯酰氧乙基三甲基氯化铵溶液、过硫酸铵溶液的投料质量比为30:(8-10):(3-5):(0.5-1)。
4.根据权利要求2所述的一种聚丙烯珠光膜,其特征在于,所述过硫酸铵溶液的浓度为0.05-0.1mol/l。
5.根据权利要求2所述的一种聚丙烯珠光膜,其特征在于,所述甲基丙烯酸甲酯的乙醇溶液的浓度为25-30wt%。
6.根据权利要求2所述的一种聚丙烯珠光膜,其特征在于,所述甲基丙烯酰氧乙基三甲基氯化铵溶液为70-80wt%的水溶液。
7.根据权利要求1所述的一种聚丙烯珠光膜,其特征在于,所述抗氧剂为2,6-二叔丁基对甲酚、2,6-二(十八烷基)-4-甲基苯酚中的一种。
8.一种权利要求1-7任意一项所述的聚丙烯珠光膜的制备方法,其特征在于,包括以下步骤:
9.权利要求1-7任意一项所述的聚丙烯珠光膜在面膜底材中的应用。
技术总结
本发明公开了一种聚丙烯珠光膜及其制备方法与在面膜底材中的应用,属于聚丙烯珠光膜技术领域。所述高密度聚丙烯珠光膜,包括外表层、中间层和内表层,所述外表层包括:聚丙烯、聚碳酸亚丙酯、黄原胶、钛白粉、有机珠光母料、碳酸钙、抗氧剂;所述中间层包括:聚丙烯、钛白粉、有机珠光母料、改性黄原胶共聚物;所述内表层包括:聚丙烯、钛白粉、改性黄原胶共聚物。所述改性黄原胶共聚物由黄原胶与甲基丙烯酸甲酯、甲基丙烯酰氧乙基三甲基氯化铵接枝共聚制得。本申请制备的聚丙烯珠光膜具有优异的自然降解率,其抗静电层具有优异的抗静电性能。
技术研发人员:丁华平,兰晓舰,孙永杰,许营营
受保护的技术使用者:烟台富利新材料科技有限公司
技术研发日:
技术公布日:2024/9/2
技术研发人员:丁华平,兰晓舰,孙永杰,许营营
技术所有人:烟台富利新材料科技有限公司
备 注:该技术已申请专利,仅供学习研究,如用于商业用途,请联系技术所有人。
声 明 :此信息收集于网络,如果你是此专利的发明人不想本网站收录此信息请联系我们,我们会在第一时间删除
